Донеччина та Луганщина – донедавна одні з найбільш економічно розвинутих регіонів України. Основні міжгалузеві комплекси – енергетичний, машинобудівний, хіміко-індустріальний, металургійний. А в основі усього – добування вугілля.
У Донецькому вугільному басейні вугілля добувається у промислових масштабах з кінця 19 століття. Станом на 2020 рік розвідані запаси промислових категорій вугілля становлять близько 50 млрд, ресурси метану у вугільних пластах становлять 491 млрд м3. У 2000 році частка вугілля у паливно-енергетичному балансі України становила 26,6 %, а у 2020 р. – 28,9 %. Загальне постачання первинної енергії у 2020 р. в Україні становило 89,1 млн т у. п. www.ukrstat.gov.ua/operativ/menu/menu_u/energ.htm; https://vse.energy/news/pek-news/coal/1502-coal-2020-12. За період експлуатації Донецького кам’яновугільного басейну тут було видобуто понад 8 млрд т вугілля. Найбільшого рівня видобуток кам'яного вугілля в Україні досяг у 1970 році і становив 177,8 млн т/рік. За 2020 рік вугледобувними підприємствами України видобуто близько 28,8 млн тонн вугілля, з них основна частина – на Сході України.
Розвіданих запасів вугілля в Україні вистачило би за нинішнього споживання на багато сотень років. Частка вугілля у структурі кінцевого споживання енергії становить близько 12,1 %. https://webcache.googleusercontent.com/search?q=cache:U9xepYvUMxUJ:https://www.me.gov.ua/.
В енергетиці України вугілля завжди було основним стабільним енергетичним ресурсом, запасів якого потенційно достатньо для того, щоб забезпечити енергетичну безпеку нашої держави та сприяти розвитку металургійної та хімічної промисловості. Частка вугілля в енергетичному балансі України висока — близько 40% електроенергії виробляється на вугільних теплоелектростанціях. http://www.ukrstat.gov.ua/express/expr2020/11/148.doc
Але, на жаль, спалювання вугілля супроводжується значними викидами в атмосферу токсичних інгредієнтів: золи, продуктів хімічного недопалу, оксидів сірки і азоту. Неминучою є значна кількість відходів у вигляді золи. Якщо прийняти токсичність продуктів згорання вугілля за 100 %, то рівень токсичності природного газу буде становити лише близько 28 %.
Значну занепокоєність людства викликають і викиди в атмосферу СО2 – газу, що спричиняє зміни клімату і парниковий ефект на Землі. А основним джерелом надходження СО2 в атмосферу є спалювання вуглецевовмістких викопних видів палива, і передусім – вугілля. При генерації 1 ГДж енергії з вугілля в атмосферу надходить близько 98 т СО2, а при використанні природного газу – 42 т.
Наразі підтверджено факт збільшення середньої температури на планеті на величину близько 1 oС порівняно з ХIX сторіччям. Тому, прийнята у Парижі у грудні 2015 року Угода, об’єднала прагнення близько 195 країн стримати кліматичні зміни. Метою Паризької Угоди є посилення глобальної боротьби із загрозою зміни клімату для стримування підвищення температури на планеті до рівня суттєво меншого ніж на 2 oС порівняно з доіндустріальними рівнями (багато країн, розташованих у низинах відносно рівня Світового океану, виступили за введення більш жорстокого обмеження у 1,5 oС). А до другої половини ХХI сторіччя планується досягти балансу між викидами парникових газів, які утворюються в результаті діяльності людини, і їхнім поглинанням морями і лісами. У планах більшості країн ЄС — повне припинення використання вугілля для виробництва електроенергії до 2038 року. Такі ж тенденції у металургійній галузі, де вугілля заміщується іншими ресурсами.
На початку 2020 року Мінекоенерго презентувало Концепцію «зеленого» енергетичного переходу України до 2050 року. Така політика є у тренді європейських ініціатив. У фокусі — поступове скорочення використання вугілля для виробництва енергії. Крім того, складні геологічні умови видобутку, виснаженість пластів і запасів та висока собівартість вугілля створюють проблеми у вугільній галузі і спонукають до такого кроку. Концепція «декарбонізації економіки» передбачає зменшення викидів у повітря та перехід до кліматично нейтральної економіки до 2070 року.
Україна є підписантом Паризької угоди. Тому перехід до альтернативних і відновлювальних джерел енергії є актуальним для нашої держави. Інакше ми ризикуємо опинитись у переліку країн, до товарів яких будуть застосовуватись обмежувальні мита або податки на вміст СО2 після їхнього запровадження.
Згідно із Законом України «Про альтернативні джерела енергії» до альтернативних джерел енергії відносяться енергія біомаси, доменний, коксівний газ, метан дегазації вугільних родовищ, скидний енергетичний потенціал технологічних процесів, енергія біомаси. Такі енергетичні ресурси повною мірою наявні на території Донеччини та Луганщини.
Вугілля залишається в Україні важливим енергетичним ресурсом, відмова від якого призведе до непоправних наслідків. Але разом з викопними видами палива необхідно нарощувати використання альтернативних джерел енергії, доступних у цьому регіоні.
Східна Україна не багата на ліси і на деревину, яку можна використати як паливо. Але є інші джерела енергії, які можна використати як енергоносії. Зробімо невеликий аналіз альтернативних і відновлювальних джерел енергії, доступних на Сході України.
Метан дегазації вугільних родовищ, або гірничий газ. Основним горючим компонентом такого газу є метан, СН4, який міститься у сорбованому стані на поверхні вугільних частинок, а також розчинений у вугіллі. Видалення шахтного метану в атмосферу вакуум-насосними установками є одним з основних джерел забруднення атмосфери газом, парниковий ефект якого у 21 раз перевищує парниковий ефект СО2. Тому утилізація і запобігання надходження в атмосферу шахтного метану є важливим екологічним завданням.
Характеристики газу дегазації можна розглянути на прикладі шахт «Добропільська» і «Алмазна» (див. таблицю 1).

Річні витрати чистого (100%) метану, СН4, який буде скидатися в атмосферу від двох вакуум-насосних станцій шахт Добропілля – «Алмазна» і « Добропільська» — становлять 10,353 млн м3 за рік. За умови, що теплота згорання метану становить 35,88 МДж/м3, тепловий річний потенціал такої кількості метану — 371,46 ТДж, або 102,8 ГВт·год, що є еквівалентом 17,11 тис. т вугілля з теплотою згорання 21,7 МДж/кг.
Але такий газ непридатний для безпосереднього використання як енергетичного палива без попередньої обробки внаслідок того, що він є вибухонебезпечною сумішшю. А обмежений вміст метану у газі не дає можливості отримати достатню для використання як енергетичного палива теплоту згорання газу. Відтак, за концентрації метану в шахтному газі близько 13,68 % теплота згорання газу становитиме лише 4,8 МДж/м3 (теплота згорання природного газу становить близько 35 МДж/м3).
Використання шахтного газу для комунально побутових і промислових потреб можливо за таких умов:
- Збагачення шахтного газу газами вуглеводнями (природним газом, пропаном або бутаном). Концентрація горючих компонентів у таких газах збільшується і виводиться за межі вибухонебезпечності. Після цього газ можна використовувати як паливо за традиційними технологіями шляхом його спалювання в топках котлів і побутових приладів.
- Очищення газової суміші від азоту N2 і кисню O2, низькотемпературна сепарація.
Для доведення концентрації метану у газі хоча би до 70 %, достатніх для спалювання, необхідно створити суміш шахтного газу у кількості не більше 25 % і природного газу в кількості близько 75 %. А найбільш технологічним є спосіб очищення шахтного метану від азоту N2 і кисню O2, що дасть можливість збільшити концентрацію метану СН4 і довести його до величин, достатніх для промислового використання шахтного газу (70-90%).
Таке очищення може бути здійснено за рахунок хімічних процесів або низькотемпературної сепарації шляхом охолодження газу до дуже низьких температур, що дасть можливість контрольовано переводити компоненти шахтного газу в рідкий стан і таким чином здійснювати його очистку від азоту N2 і кисню O2.
Іншим джерелом енергії, котре може прийти з часом на заміну вугілля, можуть бути шахтні рудникові води.
Шахтні рудникові води – підземні води, що надходять у гірничі виробки і ускладнюють умови добування корисних копалин.
Кількість шахт, які закриваються на Сході України, невпинно збільшується. У зв’язку з цим питання використання шахтної води набуває важливого значення. Крім того, відкачування шахтної води є важливим передусім з погляду ліквідації надзвичайних ситуацій на шахтах і стабілізації водовідливу. Найбільш поширеним варіантом на сьогодні є відкачування шахтної води, після чого вона, як правило, скидається у довкілля, надходить в басейни рік Донеччини та Луганщини, накопичується у водоймах.
Аналіз витрат і температури шахтної води показує, що вона може слугувати джерелом енергії, яка належить до відновлювальних і альтернативних джерел енергії.
Відтак, наприклад, охолодження кожних 180 м3/год шахтної води на 5 0С дає можливість отримати до 1300 кВт теплової енергії, що достатньо для забезпечення теплотою на опалення до 10-11 багатоквартирних будинків на 60 квартир кожний. У процесі вуглевидобутку з шахт галузі щорічно відкачують біля 750–770 млн м3 води.
Утилізація низькопотенційної теплоти шахтної води і збільшення теплового потенціалу теплоносія пропонується за рахунок використання у проєкті теплових насосів типу «вода-вода».
Загальну принципову теплову схему реалізації системи використання теплоти шахтної води для цілей централізованого теплопостачання виробничих об’єктів шахт і житлових будинків прилеглої селищної території міст наведено на рис. 1.

Рис. 1. Принципова схема використання теплового потенціалу шахтної води в системі централізованого теплопостачання шахт і населених пунктів з використанням теплових насосів «вода-вода».
1 – фільтр для очищення шахтної води; 2 – проміжний теплообмінник; 3 – теплова помпа; 4 – котельня; 5 – споживачі теплоти.
Принциповою схемою системи теплопостачання від теплових насосів пропонується транспортування теплоносія з температурою 45-55 0С до найближчої котельні системи централізованого теплопостачання або робочих котелень шахт. У таких котельнях буде здійснюватися догрівання теплоносія до потрібної температури за необхідності. За відсутності потреби в додатковій теплоті будуть використовуватися мережні насоси котелень для транспортування теплоносія.
Використання теплових насосів на базі потенціалу шахтної води в системі централізованого теплопостачання міст Донеччини та Луганщини включає таке:
- Встановлення на території робочих або закритих шахт теплових насосів «вода-вода» з використанням теплового потенціалу шахтної води. Забезпечення роботоздатності теплових насосів.
- Об’єднання теплових мереж у містах від окремих котелень у групові об’єднані системи теплопостачання шляхом монтажу окремих перемичок між відокремленими системами.
- Реконструкція (за необхідності) однієї з котелень об’єднаних групових систем теплопостачання міст (базової котельні) для переходу її роботи з вугілля на біомасу або комбінований вид палива (брикети з відходів вуглеперероблення і біомаси).
- Транспортування теплоносія від теплової помпи до однієї з котелень групових об’єднаних мереж теплопостачання.
- Заміна мережних і підживлювальних насосів у котельних КП «Добро». Заміна насосів водовідливних установок шахт.
- Подача теплоносія від теплових помп в об’єднані групові системи теплопостачання і впровадження системи автоматизації процесу спільного вироблення і відпуску теплоти від теплових помп і котелень до споживачів об’єднаними системами теплопостачання.
- Комплексна спільна генерація і відпуск теплоти споживачам від модернізованих систем теплопостачання, котрі включають такі способи генерації:
- генерація теплоти у теплових насосах з використанням теплового потенціалу шахтної води;
- генерація теплоти у модернізованих котельнях при спалюванні біомаси;
- генерація теплоти у котельнях на кам’яному вугіллі.
Використання потенціалу шахтної води може повністю вирішити проблему теплопостачання шахтарських міст і має економічний ефект, який полягає у такому:
- скорочення витрат вугілля;
- зменшення витрат електричної енергії;
- використання теплового потенціалу води від водовідливних установок.
Екологічний ефект – зменшення викидів парникових газів.
Брикети з вугільного шламу і біомаси, які можуть слугувати енергетичним паливом для котелень, комунально-побутових споживачів і ТЕЦ.
Щорічно шахти та вуглезбагачувальні фабрики видають біля 70 млн т вугільних відходів, з яких 40-45 млн т складають у відвали. В Україні утворилося 1063 породні відвали, з яких біля
15-20 % – ті, що горять, при цьому значна частина з них робочі. Вони займають площу 7188 га, де зберігається біля 1,7 млрд м3 породи. Основна частина відвалів порід (1009) розташована на Донбасі. Площа, яку вони займають, становить 6733 га, і в них зберігається більше 1,5 млрд м3 породи. Вуглезбагачувальні фабрики (ВЗФ) скидають в мулонакопичувачі біля 2 млн т на рік тонкодисперсних відходів флотаційного збагачування. Усього в мулонакопичувачах фабрик зберігається більш 70 млн т відходів, і вони займають площу 850 га. За прогнозом, шахтами ДХК «Павлоградвугілля» при вийманні всіх балансових запасів вугілля буде виведено з обігу 12,6 тис. га земельних угідь, у тому числі 2,5 тис. га орних земель, 1,3 га лісових угідь, 1,75 тис. га територій під населеними пунктами.
Вугільні шлами складаються з мілкодисперсних частинок мінеральних та органічних компонентів вугілля, а також води, котра міститься у вільному та зв’язаному стані. Вони мають значний енергетичний потенціал, а запаси їхні значні.
Склад шламу, який отримують на ВЗФ, наведено в таблиці 2. Проблемою його використання є висока зольність, вологість, низька теплота згорання і нестабільність брикетування палива з такої сировини.
Використання шламів як енергетичного палива можливо як у вигляді водно-шламових сумішей (для потужних енергетичних котлів), так і у вигляді брикетів (для котлів малої і середньої потужності). Але у будь якому випадку використання шламів стає доцільним лише у випадку їхньої невисокої зольності (до 40% за масою), незначної вологості (не більше 30%) і достатньо високої теплоти згорання (не менше 5…6 МДж/кг. Висока зольність призводить до ускладнень при спалюванні такого палива і низької теплоти згорання. Зменшити зольність можна шляхом формування брикетів з суміші вугільного шламу і біомаси з пожнивних решток (наприклад, подрібненої соломи).
Аналіз складу палива, який надано у таблиці 2, і діаграми Таннера (рис. 2) показують, що шлам ЦЗФ і брикети зі шламу і біомаси належать до речовин, котрі можуть використовуватися в якості енергетичного палива і підтримують самостійно процес горіння.

Рис. 2. Діаграма Таннера «зольність — вологість – вміст горючих речовин». Кольором виділено теплоту згорання палива.
У разі переходу котелень з вугілля на комбіновані брикети з використанням біомаси паливні характеристики брикетів повинні бути близькими до вугілля, що зараз використовується, як за характеристиками, так і за розміром.
Склад вугілля, котре використовується на котельнях, склад шламу ВЗФ, біомаси і прогнозований склад паливних комбінованих брикетів наведено в таблиці 2.

Як видно з таблиці, горючі властивості палива покращуються при збільшенні в суміші частки біомаси.
Таким чином, можливе отримання брикетів з водно-шламової суміші шляхом пресування суміші відходів вуглезбагачення з біомасою у вигляді пожнивних решток (соломою зернових культур, стеблами і лушпинням соняшника, качанами кукурудзи). Таке змішування не лише поліпшує процес брикетування за рахунок активації поверхні вугільних частинок, а й дозволяє зменшити зольність шламу і збільшити його теплоту згорання. Біомаса у складі таких брикетів виконує функцію армувального і структуротворного компоненту і, крім того, добре поглинає надлишкову вологу. Отримані таким чином брикети є конкурентоздатними замінниками енергетичного вугілля не лише на ринку України.
Обмежувальним фактором при визначенні продуктивності заводу з виробництва комбінованих паливних брикетів є не кількість відходів на ЦЗФ, а потенціал біомаси, який є доступним для вироблення такого палива.
У Донецькій області наявна біомаса сільськогосподарських культур, яка повністю відповідає критеріям стійкості відповідно до Директиви Європарламенту та Ради Європи 2009/28/ЄС та Розпорядження Кабінету Міністрів України від 3 вересня 2014 р. № 791 р. Середній збір урожаю пшениці в цілому по Донецькій області становить 900 тис. т, а соняшника – 531 тис. т. Якщо навіть передбачити можливість продажу для брикетування лише 50% відходів агровиробництва в радіусі 30 км від великих міст Східної України, то потенціал соломи пшениці, наприклад, для міст Добропілля становить 20 тис. т, а відходів виробництва соняшника – 18 тис. т.
Спалювання паливних комбінованих брикетів в якості енергетичного палива в котельнях міст на Сході України матиме такі позитивні наслідки:
1. Заміна викопного енергетичного палива – вугілля — на комбіноване паливо з високим вмістом відновлювального джерела енергії – біомаси. Скорочення витрат вугілля.
2. Скорочення викидів СО2 в атмосферу на величину.
3. Переведення землі шламовідстійників із промислового призначення в сільськогосподарське.
4. Створення нових робочих місць.
Запасів наявних відстійників вистачить для виробництва паливних брикетів протягом 160…200 років.
Горючі штучні гази високо- і середньотемпературної перегонки твердого палива, які отримують при нагріванні твердого або рідкого палива в технологічних установках металургійних і коксових виробництв як побічний продукт — це ще один важливий вид альтернативного виду палива на Сході України, який до цього часу не використовується.
Доменний газ отримують на металургійних заводах в доменних печах у процесі виплавки чавуну із залізної руди. Середній вихід доменного газу становить приблизно 3900 нм3 на 1 т виплавленого чавуну. Склад доменного газу і його вихід залежить від виду палива, яке використовується у домні, а також сорту чавуну. Основні проблеми при використанні доменного газу такі:
- значна кількість пилу в газі, що приводить до необхідності використання газоочисного обладнання;
- висока температура газу (200-500 0С);
- значна вологість газу.
Склад доменного газу наведений у таблиці 3.
Коксовий газ отримують у коксових печах металургійних і газококсових заводів шляхом сухої перегонки кам’яного вугілля, сланців та інших видів твердого палива за температури 900-1100 0С без доступу повітря. При цьому відбувається розкладання твердого палива на тверду фазу − металургійне паливо (кокс), рідку фазу (коксову смолу) і газоподібну фазу − легкі горючі гази. Після охолодження, очищення від шкідливих домішок і осушення одержують коксовий газ.


У зв’язку з наявністю у складі газу значної кількості водню, оксидів вуглецю і інших токсичних компонентів коксовий газ можна використовувати як сировину для одержання такого актуального на сьогодні водню, а також як газоподібне паливо в котлах і інших паливоспалювальних установках.
На відміну від «зеленого» водню, який отримують в результаті електролізу води, водень, згенерований з вугілля або продуктів його термічної переробки, називають «чорним». Але суть його використання залишається незмінною.
Найбільш поширеною є ідея використання водню, отриманого будь-яким способом, як палива в суміші із природним газом для забезпечення декарбонізації атмосфери та зменшення впливу на глобальні кліматичні зміни шляхом скорочення викидів СО2 із продуктами згорання вуглеводневого палива. Збільшення концентрації водню у суміші із природним газом на кожні 10% дає можливість пропорційно зменшити коефіцієнт викидів СО2 в атмосферу приблизно на ті ж 10%.
При використанні таких горючих сумішей основним є питання про можливу і допустиму частку водню в таких горючих газах-сумішах. Вирішення цього питання є компромісом між намаганням, з одного боку, збільшити частку водню як замінника природного газу, а з іншого – забезпечити основні принципи безпеки і ефективності використання сумішевого газу, а також мінімізації інвестицій, котрі необхідні для переходу газоспалювальних і топкових пристроїв з чистого природного газу, для якого вони були призначені, на горючу суміш природного газу і водню.
Наявною і чинною в Україні основною нормативною документацією не передбачається використання в газотранспортній системі і газорозподільних мережах для промислових і комунально-побутових споживачів іншого горючого газу, ніж природний газ, з теплотою згорання, яка нормується різними документами у різних межах, але мінімальна величина нижчої теплоти згорання такого газу повинна бути не менше 31,8 МДж/м3.
Дослідження питання використання сумішей природного газу і водню свідчить про можливість спалювання таких сумішей лише за умови дотримання спеціальних критеріїв — індексів взаємозамінності газів.
Такі критерії включають показники забезпечення сталої теплової потужності газоспалювальних установок, відсутності продуктів хімічного недопалу і утворення сажі, відсутності явищ проскоку і відриву полум’я. Вміст водню у горючій суміші обмежений такими змінами горючих характеристик палива, які призводять до неможливості переходу роботи пальників і газоспалювальних установок із природного газу на суміш газів з воднем без змін в конструкції пальників, тягодуттьових пристроїв, теплообмінних поверхонь установок або змін в режимах їх роботи. Виходячи з таких критеріїв, граничним вмістом водню у горючій суміші із природним газом є концентрація водню, що не перевищує 15 % об.
Досягти практичної можливості використання газоспалювальних установок, призначених для природного газу, на горючих сумішах його з воднем в кількості, що перевищує 15%, можна лише за умови зміни конструкції пальника і зміни тиску горючого газу перед пальником.
Наразі нормативи якості горючого газу у промисловості і комунально-побутовому господарстві унеможливлюють використання водню, доменного або коксового газів за межами заводів, на території яких такий газ отримують. Коксовий і доменний гази можна використовувати як паливо лише для власних потреб самих заводів — у коксових і мартенівських печах, парових і водогрійних котлах виробничих котелень і повітронагрівачах.
Але теплоту, яка отримана шляхом спалювання штучних газів на виробничих котельнях, можна було б успішно використовувати для потреб комунально-побутових споживачів за межами промислових підприємств. Це нормативами не забороняється. Наприклад, виробнича котельня металургійного комбінату могла б успішно генерувати теплоту зі скидного доменного чи коксового газу, транспортувати теплоносій з території заводу до міста і відпускати таким чином теплоту комунально-побутовим споживачам.
Так, наприклад, на території міста Маріуполь розташовано чотири великих промислових підприємства: ПАТ «ММК ім. Ілліча»; ПАТ «МК «Азовсталь»; ПАТ «Азовмаш»; ПАТ «Азовелектросталь». Технологічний процес на цих виробництвах пов'язаний з генерацією значної кількості горючих газів високо- і середньотемпературної перегонки твердого палива. Але практика використання таких газів для генерації теплоти в комунально-побутовому і промисловому секторі міста відсутня. Для цього використовується в основному природний газ.
Промислові підприємства на Сході України є не лише джерелом отримання штучних газів, які могли би бути використані для генерації теплоти в секторі комунально-побутового споживання. Технологічні установки промислових підприємств є джерелом значної кількості скидного тепла (вторинних енергетичних ресурсів). Передусім це відхідні продукти згорання паливоспалювального технологічного обладнання, водяна пара і гарячий конденсат технологічних процесів. На сьогодні тепловий потенціал таких джерел енергії практично не використовується.
Наприклад, у технологічних процесах виплавки сталі і виробництва основної продукції промислових підприємств Донеччини та Луганщини використовується значна кількість палива і теплової енергії. Для охолодження вже готової продукції і охолодження агрегатів, технологічного устаткування використовуються системи зворотного водопостачання і системи випарного охолодження з контактом перегрітих поверхонь з водою. Вода частково використовується повторно, частина води у паровій фазі спрямовується в загальний паропровід і частково використовується споживачами на території комбінату, а частина викидається в атмосферу, не виконуючи корисної роботи.
Просте технічне рішення з використання основної частини водяної пари систем випарного охолодження в якості ресурсу для підігрівання мережної води системи централізованого теплопостачання дає можливість забезпечити цілорічне вироблення теплоти для опалення і гарячого водопостачання населених пунктів, в яких розташовано промислові підприємства. Кожна одна тонна водяної пари системи випарного охолодження дає можливість отримати близько 150 кВт·год теплової енергії (0,129 Гкал). З 10 тон водяної пари, отриманої з системи випарного охолодження технологічних пристроїв, можна отримати близько 1,5 МВт теплоти для систем централізованого теплопостачання.
Важливо те, що вартість такої теплоти буде значно меншою за аналогічний показник, отриманий із природного газу. Поясненням цього є те, що теплота буде отримана з ресурсу, котрий сьогодні взагалі не використовується, а спалюється у факелах в атмосфері.
Використання теплоти відхідних продуктів згорання паливоспалювального технологічного обладнання на промислових підприємствах на Сході України може дати значну кількість теплоти.
Справа в тому, що більшість технологічних паливоспалювальних агрегатів мають значну температуру продуктів згорання. Вона може становити 200-800 oC. З такою температурою продукти згорання скидаються в атмосферу, і теплота при цьому втрачається.
При утилізації теплоти відхідних газів (продуктів згорання після паливоспалювальних пристроїв і установок) можна отримати теплоту, що придатна до використання як на комунальні потреби, так і на технологічні — усе залежатиме від параметрів, які повинен мати теплоносій, і від величини потреби в теплоті.
Реалізація заходу може здійснюватися різними способами, найпростішим з яких є встановлення теплообмінника-утилізатора після паливоспалювального технологічного агрегату на лінії продуктів згорання. Охолодження продуктів згорання в теплообміннику-утилізаторі дасть змогу здійснити нагрівання мережної води системи теплопостачання або дуттьового повітря. При цьому додатково можна отримати до 30% теплоти від величини теплової потужності основного технологічного агрегату. Так, наприклад, встановлення теплообмінника-утилізатора на нагрівальній печі тепловою потужністю 5 МВт дає можливість отримати близько 1,5 МВт теплоти без додаткового спалювання палива і витрат будь яких енергоносіїв. Така теплопродуктивність теплообмінника-утилізатора еквівалентна скороченню витрат природного газу близько 185 м3/год (0,8 млн. м3 за рік), або 300 кг/год вугілля (1200 т вугілля за рік).
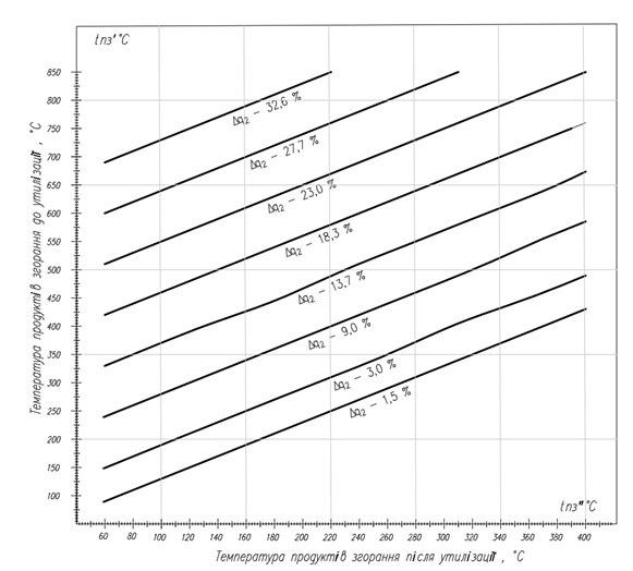
На рис. 3 представлено графік для визначення величини отриманої економії при встановленні теплообмінників-утилізаторів. Для практичного визначення величини отриманої економії достатньо зафіксувати температуру продуктів згорання до і після утилізатора теплоти.
Так, наприклад, якщо температура продуктів згорання після технологічного агрегату становила 500 оС, а після установки теплообмінника-утилізатора вдається зменшити цю температуру до 140о C, то додатково буде отримано до 18% теплоти від потужності основного технологічного агрегату.

Рис. 3. Номограма для визначення величини додаткової кількості теплоти, котру можна отримати при утилізації відхідних продуктів згорання після технологічних агрегатів.
Таким чином, у разі посилення політики декарбонізації і зменшення видобування і використання вугілля на Сході України існують альтернативні варіанти забезпечення енергоносіями систем комунального теплопостачання. За допомогою таких джерел енергії можливо здійснити перехід до таких варіантів забезпечення енергією, котрі повністю задовольняють вимогам сьогодення і забезпечують скорочення викидів в атмосферу парникових газів.
Автор: Колієнко Анатолій Григорович, старший консультант з технічних питань Всеукраїнської благодійної організації «Інститут місцевого розвитку», к. т. н., професор.

Цю статтю підготовлено у межах проєкту «Збережемо довкілля разом», який є переможцем національного конкурсу інновацій EastCode 2021 та реалізується ВБО «ІМР» за технічного адміністрування Center42 у межах Програми ООН з відновлення та розбудови миру та за фінансової підтримки урядів Данії, Швейцарії та Швеції.
Думки, зауваження, висновки або рекомендації, викладені в цій статті, належать автору і не обов’язково відображають погляди ООН та урядів Данії, Швейцарії та Швеції.
Програму ООН із відновлення та розбудови миру реалізують чотири агентства ООН: Програма розвитку ООН (ПРООН), Структура ООН з питань гендерної рівності та розширення прав і можливостей жінок (ООН Жінки), Фонд ООН у галузі народонаселення (UNFPA) і Продовольча та сільськогосподарська організація ООН (ФАО).
Програму підтримують дванадцять міжнародних партнерів: Європейський Союз (ЄС), Європейський інвестиційний банк (ЄІБ), Посольство США в Україні, а також уряди Данії, Канади, Нідерландів, Німеччини, Норвегії, Польщі, Швейцарії, Швеції та Японії.